None:
Polyps:
Strongs:

The Finite Fields GF(4) and GF(8)

"For any prime power p^n there is a unique finite field of that order, and the multiplicative group is cyclic of order p^n - 1".

What a statement that is! We simply in layman’s terms state that there is a n-tuple ordered set (a1,a2,a3,...,a[n]) where each of the a[i] may be added component-wise modulo p. Thus our K4 and octal groups are the additive parts of finite fields.

Finite fields however have a multiplication defined upon them, and that is where we leave behind any notion of truth tables and binary logic. (For now.)

We make each component of the n-tuple a power of x, (1, x, x^2, x^3, ... , x^(n-1)) etc and then simply define the n-tuple as a polynomial in x of order n with coefficients in the a[i] added modulo p.

So adding two polynomials results in a polynomial of degree n-1 or lower, by adding the coefficients of like powers modulo p.

We will restrict ourselves to a multiplication defined on our K4 and octal addition, but the following has a similar process of construction for other prime powers, even other primes.

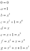
Firstly, we now have every quadratic polynomial in x as the additive group of our octal part of the finite field of eight elements (called GF(8)+). If we wish to define a multiplication then we require powers of x from 0 to 7, where x^0 = 1 (with which we should be familiar).

We need a mechanism to reduce powers of x higher than two to lesser powers, so we may do addition "modulo some polynomial" and use long division of polynomials to take the remainder. The polynomial to be divided by must be "prime-like" or "irreducible" so that we have a field, and not a ring with zero divisors. We need such a polynomial for both the cases of fields of order 4 and eight. There are always such polynomials in each case;

x^2 + x + 1 = 0 for the klein four group works fine!

x^3 + x^2 + 1 = 0 and x^3 + x + 1= 0 both work fine for the octal.

We see that the equation with zero is truthfully only correct if we do actually make or infer such a congruence. Neither of these polynomials factor into lesser polynomials or split into those of lesser degree over the field GF(2) isomorphic to C2 or Z/2Z. (Which is our prime subfield in each case.) We may therefore do multiplication "mod f(x)" with f(x) one of these polynomials over the field Z/2Z with coefficients of f(x) from the set {0,1} with addition of coefficients done modulo 2.

Since the coefficients are members of the subfield Z/2Z (or could be any other field of the same characteristic (p)) the existence of an irreducible polynomial over any finite field allows for an extension in some indeterminate "x" with coefficients in some field over which the extension we make is constructed.

We find in the cases that we actually do construct another field that our irreducible allows no zero divisors in our new field. The irreducible ensures we have no factors of our irreducible lesser degree, and that every element in our new field is a power of a particular root of our irreducible, which may be shown to be a root of the equation x^(p^n) - x = 0. Every element in the multiplicative part will have an inverse, as GF(p^n) is therefore cyclic (made of the (p^n)th roots of unity) and as in the cases where our field is GF(8)* or GF(4)* - (* indicates the multiplicative groups)- as they are also prime-order they are cyclic, (although even if they were of other orders being composite, they would still have cyclic multiplicative groups denoted GF(p^n)*.) We have the multiplication tables for GF(8) and GF(4) as follows.

Where the elements in the octal correspond to

The GF(4) structure is simpler.

Now, since three does not divide seven, GF(4)* is not isomorphic to a subgroup of GF(8)* - ie, it is therefore true that GF(4) is not a subfield of GF(8). The intersection of the two fields is taken to be the prime subfield only, GF(2) or Z/2Z.

In general, the intersection of two fields of characteristic p of orders p^n and p^m is a subfield of both fields of order p^(gcd(n,m)) where gcd(a,b) is the greatest common divisor of a and b.

It should also be noted that the multiplicative group of GF(8) is isomorphic to the cyclic group of seven elements C7. There is also a finite-field of seven elements where addition is done modulo seven and multiplication likewise! Such a field has an addition table as the multiplication in GF(8) above with a different multiplication defined on the six non-zero elements. The multiplicative group of GF(7) is also cyclic.

For the octal group in seven symbols defined as above, there are eight possible C7 groups for multiplication. (Not commonly used in polynomial form but they are extensively used in revelation.) Generators for these groups may be taken to be the following seven cycles. (Our "x" is formed from mapping each element in the cycle to its next neighbour, restarting from the end to the first.)

(a,b,d,c,f,g,e)
(a,b,f,c,d,e,g)
(a,c,e,b,f,g,d)
(a,c,f,b,e,d,g)
(a,c,d,b,g,f,e)
(a,c,g,b,d,e,f)
(a,b,e,c,g,f,d)
(a,b,g,c,e,d,f)

Each of these seven cycles has the amazing property that the seven cycle preserves the octals (GF(8)+) K4 subgroups under addition, a consequence of the distributive laws and the group axioms on addition.

if (a+b = c) in a klein four group then

x*(a+b) = x*c in the finite field. (closure)

x*(a - a) = x*0 = 0 in the field. (inverses)

0+x*a = x*0 + x*a = x*(0+a) = x*a in the field (identity)

of course x*(a+(b+c)) = x*((a+b)+c) (associativity of addition)

and x*(a+b) = x*(b+a) commutativity of addition.

So under repeated multiplication in a field, additive subgroups are sent to additive subgroups, always.


Continue To Next Page

Return To Section Start

Return To Previous Page


'